Category: Tremor
Objective: The aim of this study is to compare non-motor symptoms (NMS) and motor symptoms of essential tremor (ET) with those of Parkinson’s disease-tremor dominant type (PD-TDT) and healthy controls (HCs) and to identify factors affecting the quality of life (QOL).
Background: ET is primarily characterized by action tremor, but is also associated with various NMS. However, the details and clinical significance of NMS in ET remain unclear.
Method: Twenty-three ET patients, 23 PD-TDT patients, and 22 HCs were enrolled. Diagnoses of ET and PD were confirmed using Movement Disorder Society (MDS) criteria and Dopamine transporter single-photon emission computed tomography. Motor symptom, NMS and QOL were evaluated using validated scales, including the Clinical Rating Scale for Tremor (CRST), MDS-Unified Parkinson’s Disease Rating Scale (UPDRS), Non-Motor Symptoms Scale for Parkinson’s Disease (NMSS), Odor Stick Identification Test for Japanese (OSIT-J), and Quality of Life in Essential Tremor Questionnaire (QUEST).
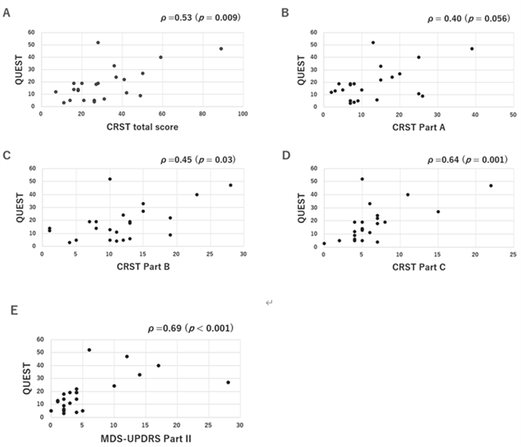
Results: ET patients had significantly higher NMSS total scores (19.5 ± 14.1 vs. 7.6 ± 9.0) and MDS-UPDRS part IB scores (5.4±4.0 vs. 2.5±2.4) than HCs, with more severe sleep disturbances, fatigue, and urinary problems (Table1). CRST scores were significantly correlated with QUEST scores, while NMS did not impact QOL (Figure1). Logistic regression identified CRST Part B and OSIT-J as key factors distinguishing ET from PD-TDT, with 87% sensitivity and 90% specificity (Figure2).
Conclusion: ET patients without dopaminergic neuron loss showed more severe NMS than HCs. NMS served as diagnostic markers rather than QOL determinants. Accurate differentiation from PD-TDT requires combined motor and sensory assessments, underscoring the importance of comprehensive evaluation.
Table1
Figure1
Figure2
To cite this abstract in AMA style:
S. Okusa, R. Okouchi, Y. Sakai, T. Nukariya, T. Tezuka, Y. Nihei, J. Nakahara, M. Seki. Clinical Features of Essential Tremor and Its Impact on Quality of Life in Japan. [abstract]. Mov Disord. 2025; 40 (suppl 1). https://www.mdsabstracts.org/abstract/clinical-features-of-essential-tremor-and-its-impact-on-quality-of-life-in-japan/. Accessed January 19, 2026.« Back to 2025 International Congress
MDS Abstracts - https://www.mdsabstracts.org/abstract/clinical-features-of-essential-tremor-and-its-impact-on-quality-of-life-in-japan/



