Objective: Investigate the impact of dopamine replacement therapy (DRT) on the serum and CSF proteome of people with Parkinson’s disease (PwPD).
Background: New high-throughput technologies have allowed for the interrogation of the PD proteome and has led to the identification of multiple candidate biomarkers [1,2]. The human proteome is however highly susceptible to a variety of intrinsic and extrinsic factors, including dopamine replacement therapy (DRT), which can complicate interpretation of results [4,5].
Method: Using a proximity-extension assay proteomics platform, we tested the serum of 722 PwPD on DRT, 122 treatment-naïve PwPD, 256 people with iRBD (PwRBD) and 218 healthy controls (HC) and the CSF of 41 PwPD on DRT, 19 treatment-naïve PwPD, 14 PwRBD and 19 HC enrolled in the Oxford Parkinson’s Disease Centre (OPDC) Discovery cohort. DRT was standardized using the levodopa equivalent daily dose (LEDD) formula. A linear model was used to identify proteins associated with DRT at baseline, correcting for diagnosis, age, sex, BMI and technical variables. Linear mixed-effects models were used to associate proteins with drug dose, correcting for age, sex, BMI, technical variables and sample relatedness. Differences in serum protein levels over time were analysed by linear mixed effects models, correcting for age, sex, BMI and repeated sampling.
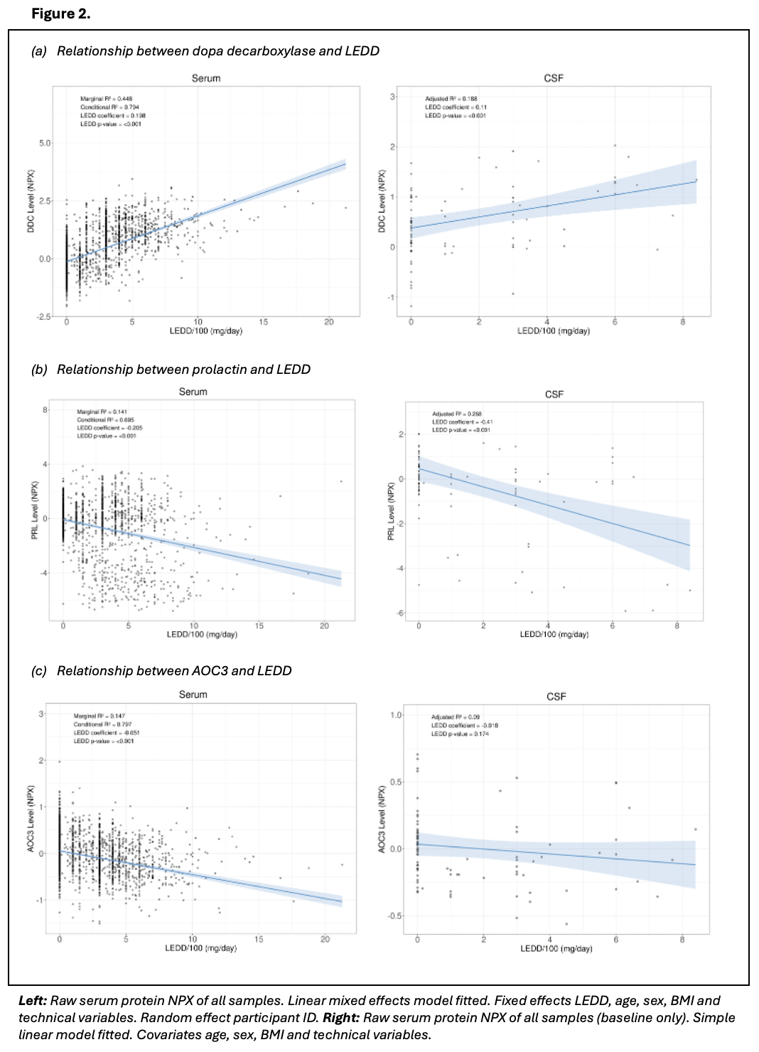
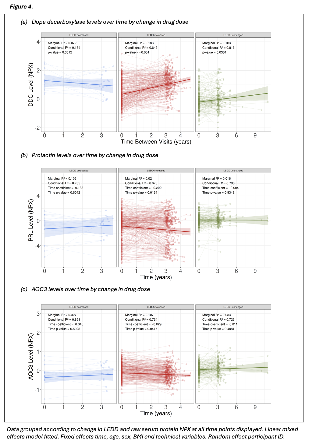
Results: 5416 proteins in the serum experiment and 2884 proteins in the CSF experiment passed QC. In serum, only 3 proteins were associated with DRT at baseline, namely dopa decarboxylase (DDC), prolactin and amine oxidase copper-containing 3 (AOC3). In CSF no proteins were associated with DRT. In serum, DDC was higher and prolactin and AOC3 lower in PwPD on DRT. In CSF, DDC was higher in PwPD regardless of treatment status, and prolactin was lower in PwPD on treatment. Changes in serum DDC and AOC3 levels were most pronounced in those peripheral decarboxylase inhibitors, while prolactin was altered markedly in those on dopamine agonists. Analysing longitudinal samples, DDC levels increased, and prolactin levels decreased over time only in participants where the LEDD increased between visits.
Conclusion: DRT is the likely driver of elevated DDC in serum, reduced prolactin in serum and CSF, and reduced AOC3 in serum of PwPD. These results underscore the biological effects of DRT on the PD proteome.
Participant demographics
Protein levels in diagnostic groups
Correlation of proteins with drug dose
Protein-drug dose correlation by drug class
Proteins over time by change in LEDD
References: 1. Rutledge J, Lehallier B, Zarifkar P et al. Comprehensive proteomics of CSF, plasma, and urine identify DDC and other biomarkers of early Parkinson’s disease. Acta Neuropathol. 2024 Mar 11;147(1):52. doi: 10.1007/s00401-024-02706-0. PMID: 38467937; PMCID: PMC10927779.
2. Chelliah SS, Bhuvanendran S, Magalingam KB et al. Identification of blood-based biomarkers for diagnosis and prognosis of Parkinson’s disease: A systematic review of proteomics studies. Ageing Res Rev. 2022 Jan;73:101514. doi: 10.1016/j.arr.2021.101514. Epub 2021 Nov 16. PMID: 34798300.
3. van Rumund, A., Pavelka, L., Esselink, R.A.J. et al. Peripheral decarboxylase inhibitors paradoxically induce aromatic L-amino acid decarboxylase. npj Parkinsons Dis. 7, 29 (2021). https://doi.org/10.1038/s41531-021-00172-z
4. Bolsewig K, Willemse EAJ, Sánchez-Juan P, et al. Increased plasma DOPA decarboxylase levels in Lewy body disorders are driven by dopaminergic treatment. Nat Commun. 2025 Jan 29;16(1):1139. doi: 10.1038/s41467-025-56293-z. PMID: 39881147; PMCID: PMC11779843.
To cite this abstract in AMA style:
L. van Hillegondsberg, S. Ahmad, M. Fletcher, A. Taylor, A. Thompson, M. Hu. Dopamine replacement therapy modulates dopa decarboxylase, prolactin and AOC3 levels in Parkinson’s disease [abstract]. Mov Disord. 2025; 40 (suppl 1). https://www.mdsabstracts.org/abstract/dopamine-replacement-therapy-modulates-dopa-decarboxylase-prolactin-and-aoc3-levels-in-parkinsons-disease/. Accessed December 9, 2025.« Back to 2025 International Congress
MDS Abstracts - https://www.mdsabstracts.org/abstract/dopamine-replacement-therapy-modulates-dopa-decarboxylase-prolactin-and-aoc3-levels-in-parkinsons-disease/





