Objective: To develop a robust, interpretable, and language-independent tool for voice-based detection of Parkinson’s disease (PD) using graph neural networks (GNNs), demonstrating superior cross-linguistic generalization compared to traditional deep learning models.
Background: Timely detection of Parkinson’s disease remains challenging, especially in resource-limited and diverse linguistic contexts. Existing computational voice-based methods often struggle to generalize across languages and typically lack interpretability, hindering clinical adoption. Graph-based representations of speech signals, reflecting underlying neural disruptions in PD, could enhance both model interpretability and linguistic generalization.
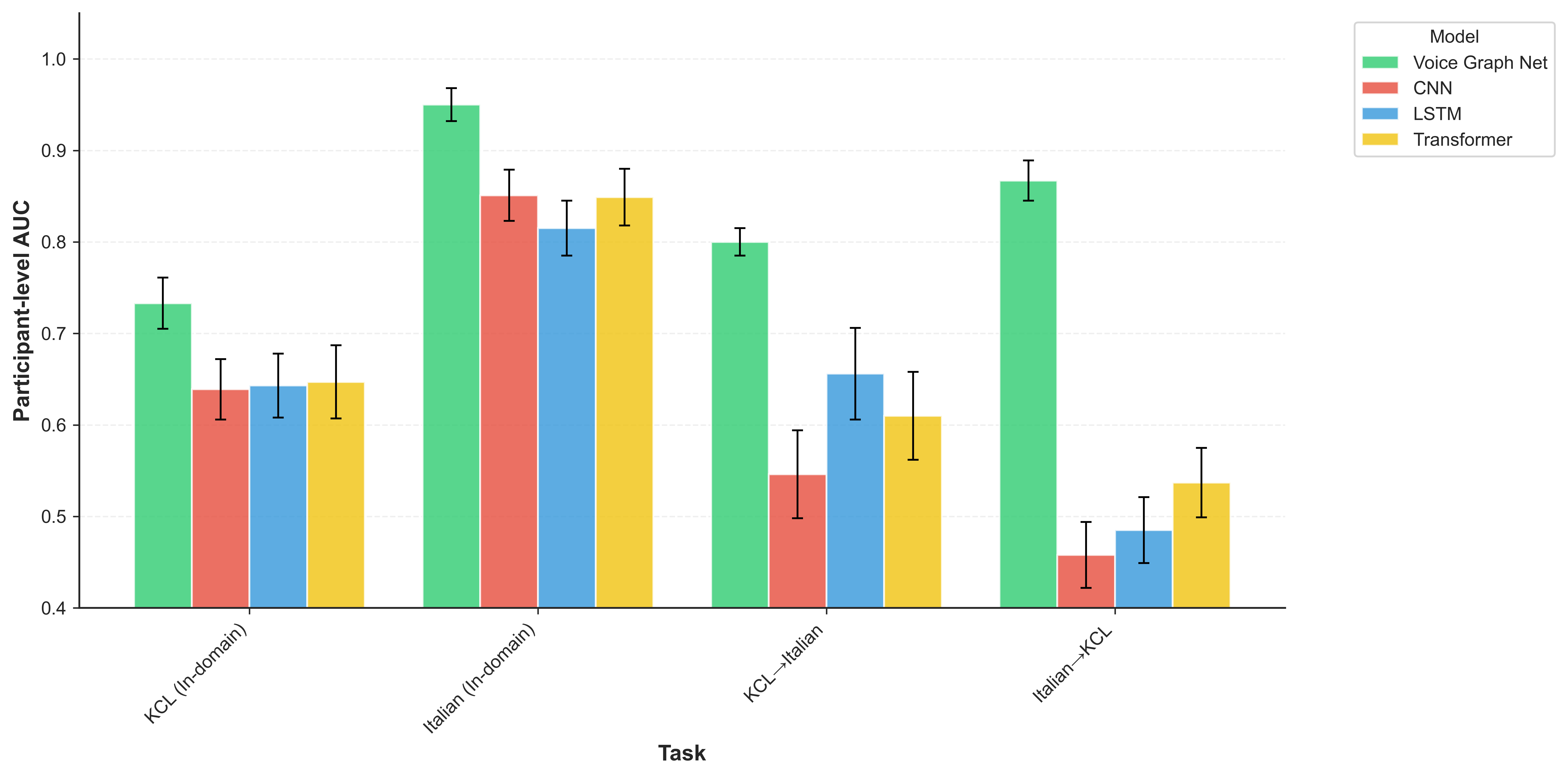
Method: Voice recordings from Italian and British cohorts were converted into graph structures capturing temporal and acoustic relationships between speech segments. A GNN leveraging attention mechanisms modeled these graphs, enabling interpretable identification of acoustic biomarkers. Performance was compared against established deep learning baselines (CNN, LSTM, Transformer) through in-domain and cross-domain evaluations, employing statistical analysis including DeLong’s test for ROC comparisons.
Results: The proposed GNN significantly outperformed baseline models across both languages (in-domain AUC: 0.950, 95% CI: 0.932-0.968; cross-language transfer AUC: 0.867, 95% CI: 0.845-0.889, p < 0.001). Visualization analyses of attention patterns revealed distinct acoustic markers of PD independent of language, demonstrating the model’s interpretability. The method exhibited robust performance with minimal computational resources, suitable for smartphone deployment.
Conclusion: This graph neural network approach offers a clinically viable, interpretable solution for early, voice-based PD detection, demonstrating superior generalizability across languages compared to conventional deep learning methods. Its accessibility and robustness support potential widespread deployment, particularly in underserved settings.
Performance comparison of voice-based models
Transformer multi-head attention patterns.
Graph feature space embeddings
Graph structure of voice segment relationships
To cite this abstract in AMA style:
S. Patel, C. Antoniades, J. Fitzgerald, O. Bredemeyer. Interpretable voice-based detection of Parkinson’s disease using language-independent graph neural networks [abstract]. Mov Disord. 2025; 40 (suppl 1). https://www.mdsabstracts.org/abstract/interpretable-voice-based-detection-of-parkinsons-disease-using-language-independent-graph-neural-networks/. Accessed December 9, 2025.« Back to 2025 International Congress
MDS Abstracts - https://www.mdsabstracts.org/abstract/interpretable-voice-based-detection-of-parkinsons-disease-using-language-independent-graph-neural-networks/




