Category: MSA, PSP, CBS: Clinical Trials
Objective: To explore the effects of Neurologic Music Therapy (NMT) with or without non-invasive brain stimulation on upper limb performance in patients with corticobasal syndrome (CBS).
Background: With limited treatment options for CBS, novel approaches are essential. NMT, which leverages musical patterns and instruments, previously showed effectiveness in improving dyspraxia, coordination, rigidity, and range of motion. Additionally, transcranial direct current stimulation (tDCS) may improve ideomotor upper limb apraxia in CBS.
Method: Sixteen participants were randomly assigned to NMT+sham tDCS (NS_tDCS, n=8) or NMT+active tDCS (NA_tDCS, n=8) for six 30-minute sessions, twice weekly for 3 weeks. A 32-electrode EEG/tDCS system targeted motor and somatosensory cortices contralateral to the more affected arm. Upper limb motor function, praxis, anxiety, and CBS functional level were assessed at baseline (T1), post-6th session (T2), and one-month follow-up (T3). Friedman tests analyzed within-group changes, followed by Wilcoxon signed-rank tests for pairwise comparisons across timepoints.
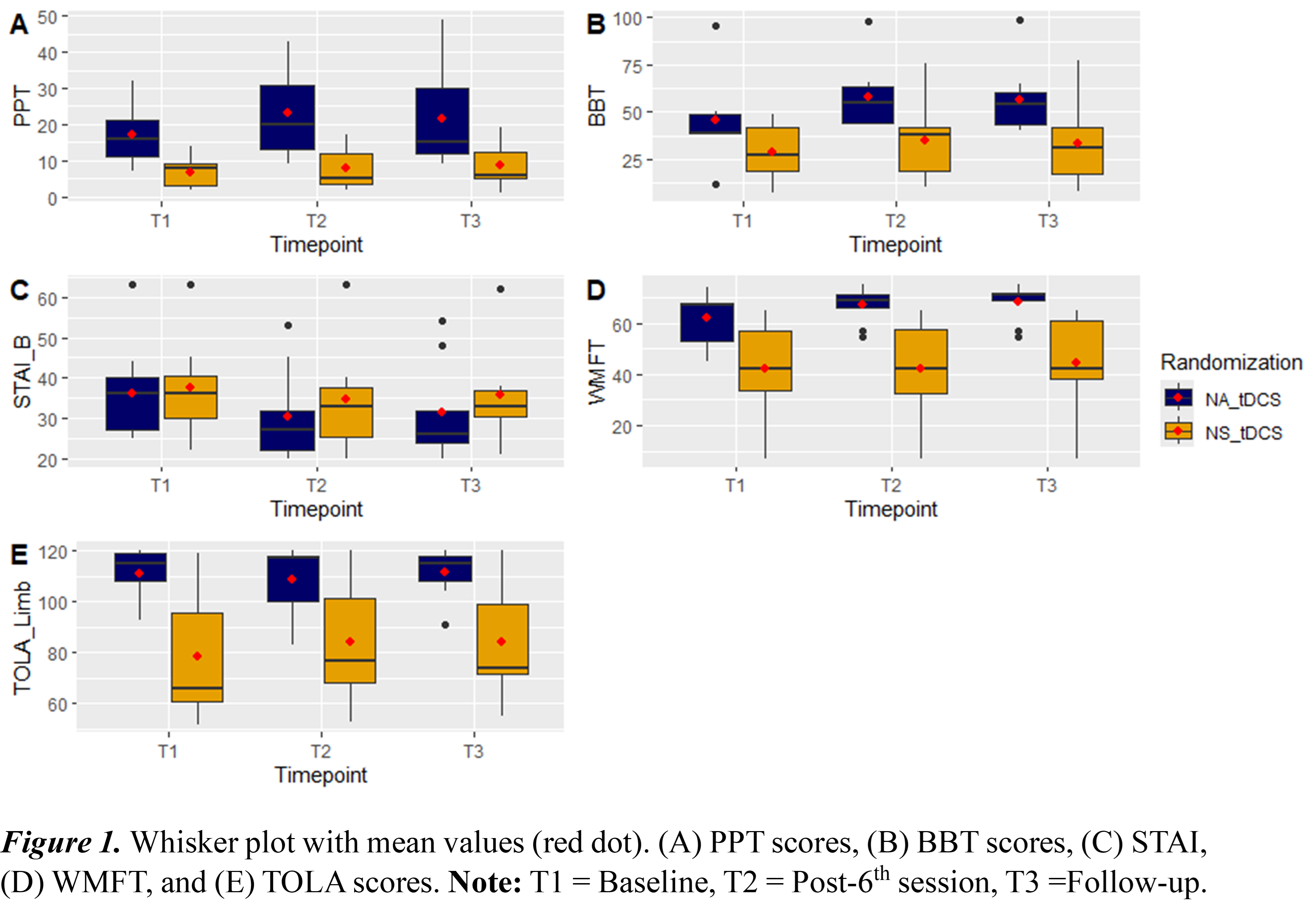
Results: In NA_tDCS group (age=64.25±5.04, Female=4, CBFS score=26±15.76), significant effects were observed in fine/gross motor function (Box and Block Test, BBT) (χ²(2)=14.89, p=0.001), fine motor skills (Purdue Pegboard Test, PPT) (χ²(2)=10.42, p= 0.005), anxiety (State-Trait Anxiety Inventory, STAI) (χ²(2)=7.75, p=0.021), and functional upper limb motor ability (Wolf Motor Function Test) (χ²(2)=15.25, p<0.001). Post-hoc analyses showed significant BBT score improvements between T1(45.44±22.05) and T2(57.89±17.29), p=0.004 and T1 and T3 (56.78±17.9, p=0.004). Similarly, PPT improved between T1 (17.00±7.97) and T2 (23.11±12.10), p=0.012 and T1 and T3 (21.44±13.35, p= 0.024). STAI scores decreased from 36.11±12.12 (T1) to 30.44±11.48 (T3), p=0.008. WMFT scores improved between T1 (62.11±9.70) and T2 (67.56±7.16), p=0.004 and T1 and T3 (68.33±7.19, p=0.004). In NS_tDCS group (age=71.25±3.89, Female=4, CBFS scores= 31.13±15.10), no significant changes were found, though marginal significance was observed for praxis (TOLA) (χ²(2)=5.85, p=0.054) and anxiety (STAI) (χ²(2)=5.58, p=0.061).
Conclusion: Our preliminary results suggest that NMT combined with tDCS may improve the quality of functional arm/hand performance and reduce anxiety levels in CBS.
Figure 1
To cite this abstract in AMA style:
K. Kang, I. Sterner, S. Bakhshi, C. Bedell, A. Pantelyat. Neurologic Music Therapy and Non-Invasive Brain Stimulation for Upper Extremity Performance in Patients with Corticobasal Syndrome [abstract]. Mov Disord. 2025; 40 (suppl 1). https://www.mdsabstracts.org/abstract/neurologic-music-therapy-and-non-invasive-brain-stimulation-for-upper-extremity-performance-in-patients-with-corticobasal-syndrome/. Accessed November 16, 2025.« Back to 2025 International Congress
MDS Abstracts - https://www.mdsabstracts.org/abstract/neurologic-music-therapy-and-non-invasive-brain-stimulation-for-upper-extremity-performance-in-patients-with-corticobasal-syndrome/

