Objective: To evaluate the efficacy of safinamide as an adjunct therapy in improving motor symptoms and extending ON-time in patients with Parkinson’s disease (PD).
Background: Safinamide, a selective monoamine oxidase-B (MAO-B) inhibitor with additional glutamatergic modulation, has been proposed to improve motor symptoms and prolong ON-time in PD patients experiencing motor fluctuations. However, its overall effectiveness remains to be systematically assessed.
Method: A systematic review and meta-analysis were conducted following PRISMA guidelines. Randomized controlled trials (RCTs) comparing safinamide (50 mg or 100 mg) to placebo in PD patients were identified through the PubMed database. The primary outcomes included standardized mean differences (SMDs) in the Movement Disorder Society–Unified Parkinson’s Disease Rating Scale Part III (MDS-UPDRS III) and ON-time duration. A random-effects model was used to pool data, with heterogeneity assessed using the I² statistic.
Results:
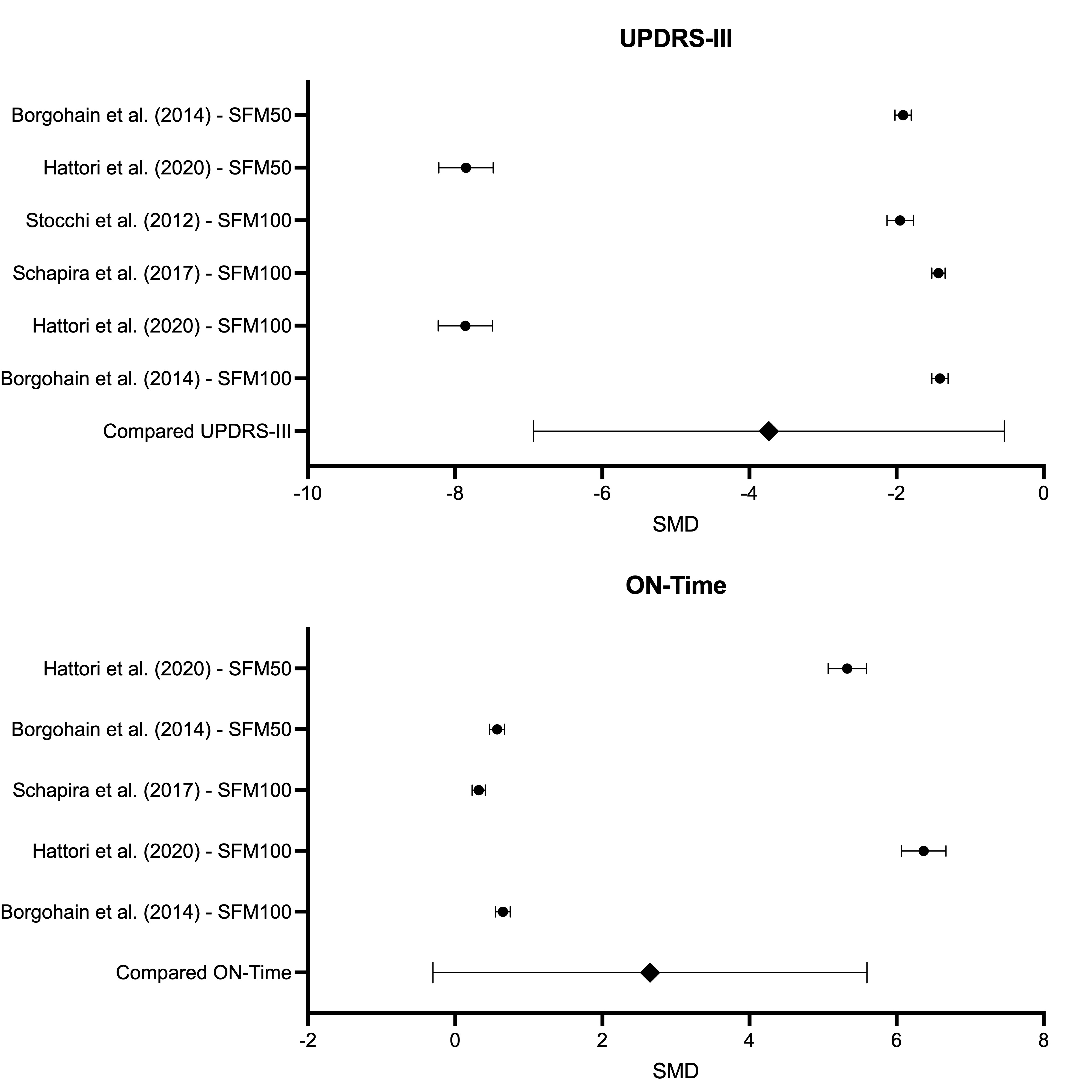
Four RCTs (PMID: 24323641, 32446176, 27942720, 27942720) met the inclusion criteria, encompassing a total of 1,071 patients [Figure 1]. Safinamide 50 mg significantly improved UPDRS-III scores compared to placebo (SMD: -1.91 ± 0.11) and increased ON-time (SMD: 0.57 ± 0.10). Similarly, safinamide 100 mg showed a significant reduction in UPDRS-III scores (SMD: -1.41 ± 0.11) and increased ON-time (SMD: 0.65 ± 0.10). A separate study with safinamide 100 mg demonstrated a larger effect on motor symptoms (SMD: -7.85 ± 0.37) and ON-time improvement (SMD: 5.33 ± 0.26). Another trial with safinamide 100 mg reported an SMD of -7.86 ± 0.37 for UPDRS-III and 6.37 ± 0.30 for ON-time. Additional studies reported smaller but significant benefits in motor function and ON-time duration.
Conclusion: Safinamide, at both 50 mg and 100 mg doses, significantly improves motor function and extends ON-time in PD patients with motor fluctuations. These findings support its role as an effective adjunct therapy to levodopa, warranting further investigation in long-term studies.
Figure 1
To cite this abstract in AMA style:
A. Fornari Caprara, J. Pitton Rissardo. Safinamide as an Adjunct Therapy for Motor Symptoms and ON-Time Extension in Parkinson’s Disease: A Systematic Review and Meta-Analysis of Randomized Controlled Trials [abstract]. Mov Disord. 2025; 40 (suppl 1). https://www.mdsabstracts.org/abstract/safinamide-as-an-adjunct-therapy-for-motor-symptoms-and-on-time-extension-in-parkinsons-disease-a-systematic-review-and-meta-analysis-of-randomized-controlled-trials/. Accessed November 7, 2025.« Back to 2025 International Congress
MDS Abstracts - https://www.mdsabstracts.org/abstract/safinamide-as-an-adjunct-therapy-for-motor-symptoms-and-on-time-extension-in-parkinsons-disease-a-systematic-review-and-meta-analysis-of-randomized-controlled-trials/

