Category: Technology
Objective: Timed-up-and-go (TUG) is a standard test in neurological assessment. TUG completion time is currently the only quantitative result reported and matched against age and sex distribution, the human rater may list some subjective indications. More markers can be derived by using Instrumented TUG (iTUG), which is now readily available by using consumer devices. We suggest making iTUG the standard of assessment in the clinic and in the patient home, and demonstrate its applicability in unprecedented scale.
Background: Traditional TUG tests, relying solely on completion time. iTUG offers enhanced biomarkers, clinical validation, and remote monitoring capabilities. While the benefits of iTUG has been known for many years, it was argued that iTUG will be used by many.
Over the course of several years, Mon4t was able to run over 40,000 iTUG tests, in the clinic and remotely, with many thousands of patients, in a dozen different neurological condition, as well as healthy controls. This is an unprecedented number of samples, all of which are comparable to one another, without intra or inter-rater variability, and with many more digital markers than any physician can measure.
Method: Mon4t has developed an app that turns any smartphone to a gait laboratory, which uses the smartphone integral sensors (accelerometers and gyroscope). The app has a clinic version which is distributed to any doctor, and from which it is further distributed to any patient. The app is easy to use, the raw data is being sent to the cloud for analysis and generating a report.
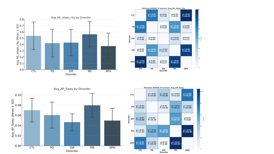
Results: Over 40,000 iTUG tests were conducted in 3m,5m and 10m. The tests were conducted by several thousands of patients who suffer from several neurological conditions. We present several digital markers from patients who suffer from PD, MS, NPH, Drug Induced Parkinsonism (DIP) and as well as healthy controls. For each test we obtain a temporal breakdown of each section of the TUG test e.g. sit-to-stand, as well as spatial analysis of the subject sway.
Conclusion: Mon4t has demonstrated that iTUG can be used globally and in large scale. We suggest that iTUG will be adapted as the standard of care.
iTUG chart
Stand up time and Rotation time
Numbers and Total Time
Steps variability and AP sway
Sit down time and Step Length
References: Tchelet K, Stark-Inbar A, Yekutieli Z. Pilot Study of the EncephaLog Smartphone Application for Gait Analysis. Sensors (Basel). 2019 Nov 26;19(23):5179. doi: 10.3390/s19235179. PMID: 31779224; PMCID: PMC6929058.
Yahalom G, Yekutieli Z, Israeli-Korn S, Elincx-Benizri S, Livneh V, Fay-Karmon T, Tchelet K, Rubel Y, Hassin-Baer S. Smartphone Based Timed Up and Go Test Can Identify Postural Instability in Parkinson’s Disease. Isr Med Assoc J. 2020 Jan;22(1):37-42. PMID: 31927804.
Yahalom H, Israeli-Korn S, Linder M, Yekutieli Z, Karlinsky KT, Rubel Y, Livneh V, Fay-Karmon T, Hassin-Baer S, Yahalom G. Psychiatric Patients on Neuroleptics: Evaluation of Parkinsonism and Quantified Assessment of Gait. Clin Neuropharmacol. 2020 Jan/Feb;43(1):1-6. doi: 10.1097/WNF.0000000000000371. PMID: 31815747.
Smartphone-based gait assessment for multiple sclerosis, Regev, Keren et al. Multiple Sclerosis and Related Disorders, Volume 82, 105394
To cite this abstract in AMA style:
Z. Yekutieli, P. Lewitt. 40,000 Instrumented Timed-up-and-go Tests – Standardization is within Reach [abstract]. Mov Disord. 2025; 40 (suppl 1). https://www.mdsabstracts.org/abstract/40000-instrumented-timed-up-and-go-tests-standardization-is-within-reach/. Accessed May 22, 2026.« Back to 2025 International Congress
MDS Abstracts - https://www.mdsabstracts.org/abstract/40000-instrumented-timed-up-and-go-tests-standardization-is-within-reach/





