Objective: To elucidate the clinical significance of mutations in the Bassoon (BSN) gene in early-onset Parkinson’s disease (PD).
Background: PD involves complex motor deficits beyond the classical triad. Notably, freezing of gait, shuffling gait, and falls significantly impact patient quality of life and respond poorly to dopaminergic therapy. Although previously implicated in various disorders, BSN mutations in PD remains poorly understood.
Method: Whole-exome sequencing of 674 early-onset PD (age ≤50 years) from the GOPI-YOPD cohort were analyzed. We analyzed coding-region variants in BSN, classified their pathogenicity using computational tools (CADD, PolyPhen-2, AlphaMissense), and assessed associations between BSN mutation status and motor symptoms.
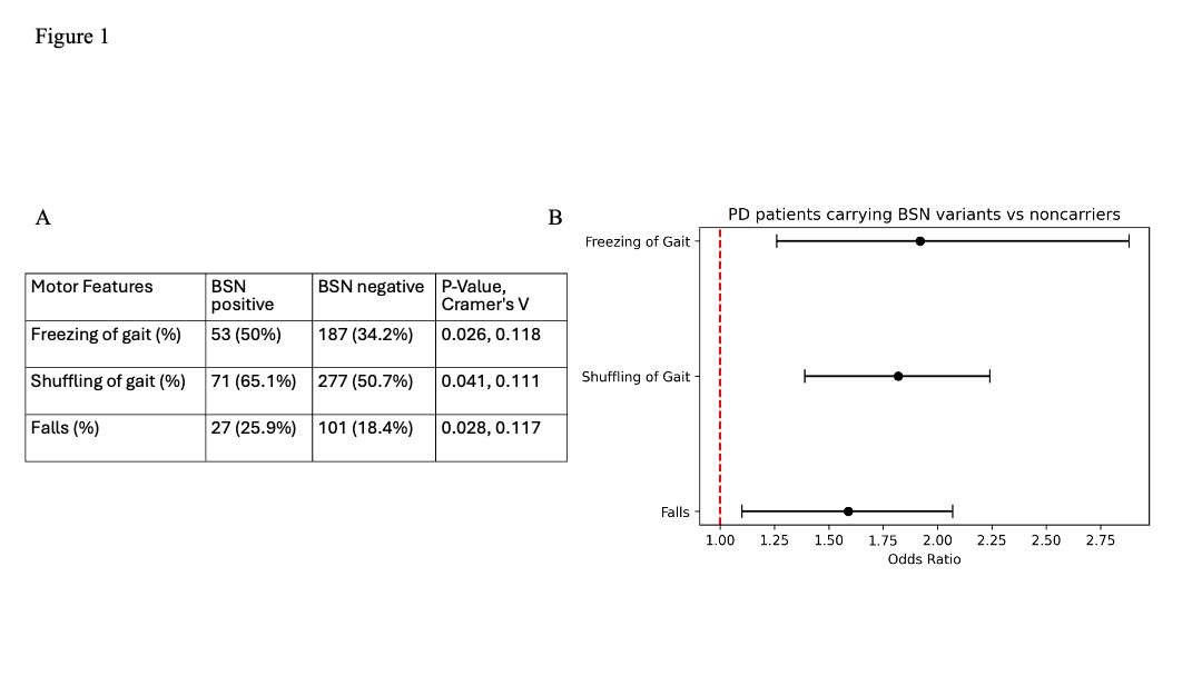
Results: BSN variants were identified in 16.3% of PD patients (110/674). Significant associations were found between BSN-positive status and gait impairments, including FOG (50% vs. 34.2%, OR=1.92, p=0.026), shuffling gait (OR=1.82, p=0.041), and falls (OR=1.59, p=0.028). Notably, these associations were even stronger in the subgroup of patients carrying rare BSN mutations (MAF<1%), with ORs of 2.59 for FOG (p=0.005) and 2.31 for SOG (p=0.018). [Fig-1] Rare variants predominantly clustered within the Bassoon C-terminal region, critical for presynaptic neurotransmission functions. Computational analyses (CADD, PolyPhen-2, AlphaMissense) further supported the pathogenic nature of several rare variants, particularly mutations like P171L, R1023C, and C1123Y, indicating probable functional impairment.
Conclusion: Our findings demonstrate that BSN gene mutations represent an important genetic determinant of gait and balance dysfunction in PD. Given the emerging detection of BSN mutations across various parkinsonian disorders including PD, PSP, and Multiple System Atrophy, we postulate that BSN dysfunction may constitute a common pathogenic mechanism underlying gait and postural instability across these conditions. Bassoon mutations might therefore represent a shared vulnerability factor exacerbating motor impairment, potentially reflecting a convergence point in disease pathways involving synaptic dysfunction and protein aggregation. Future studies should explore BSN role in broader parkinsonian syndromes and potential interventions targeting gait dysfunction beyond the traditional dopaminergic strategies.
Figure-1
References: Ahamed Kaladiyil, Prashanth Kukkle, Bassoon, Presynaptic scaffolding protein: Narrative Review in Health and Disease. European Journal of Neuroscience (In Press) DOI: 10.1111/ejn.70066
To cite this abstract in AMA style:
P. Kukkle, A. Kaladiyil, T. Geetha, R. Menon, R. Kandadai, V. Goyal, S. Desai, D. Joshi, H. Kumar, P. Wadia, A. Mukherjee, N. Kumar, S. Mehta, S. Chargulla, S. Murugan, H. Shah, V. Paramanandam, M. Chandran, R. Yadav, R. Dhamija, P. Pal, A. Biswas, R. Gupta, R. Borgohain, V. Ramprasad. Bassoon (BSN) Gene Mutations: A Missing Link in Gait and Balance Dysfunction Across Parkinsonian Disorders? [abstract]. Mov Disord. 2025; 40 (suppl 1). https://www.mdsabstracts.org/abstract/bassoon-bsn-gene-mutations-a-missing-link-in-gait-and-balance-dysfunction-across-parkinsonian-disorders/. Accessed January 17, 2026.« Back to 2025 International Congress
MDS Abstracts - https://www.mdsabstracts.org/abstract/bassoon-bsn-gene-mutations-a-missing-link-in-gait-and-balance-dysfunction-across-parkinsonian-disorders/

