Category: Parkinson's disease: Neuroimaging
Objective: To investigate possible glymphatic dysfunction using diffusion tensor image along the perivascular space (DTI-ALPS) in patients with Parkinson’s disease and their relationship with clinical and neuropsychological markers of degeneration.
Background: PD is a neurodegenerative disease characterized by the accumulation of Lewy bodies containing alpha-synuclein [1]. The glymphatic system has a clearance function of interstitial solutes [2]. The DTI-ALPS indices are a proxy to measure the glymphatic system activity non-invasively and locally [3]. The DTI-ALPS indices and their relationship with clinical features have been poorly investigated.
Method: Fifty-seven patients with PD and 35 matched healthy controls (HC) were evaluated through a neuropsychological assessment and diffusion-weighted magnetic resonance imaging (MRI). Automated DTI-ALPS indices were computed bilaterally, and separately for the left and right hemispheres. Between-group comparisons were performed for demographic, clinical, neuropsychological and DTI-ALPS variables. Correlations between demographic, clinical and neuropsychological features and DTI-ALPS indices were computed. All the results were corrected for false discovery rate (FDR, p<0.05).
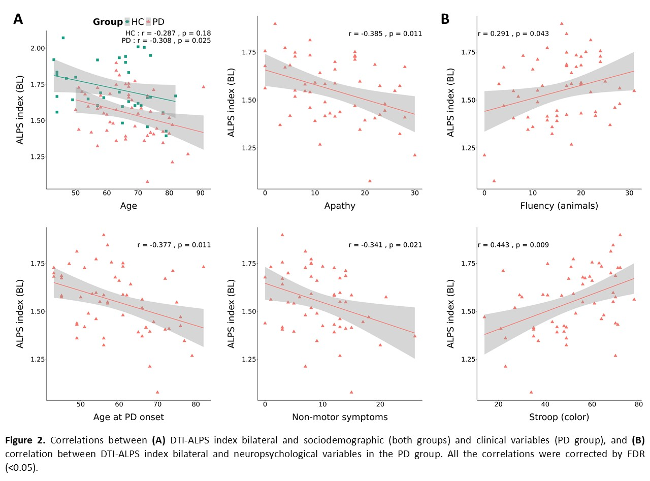
Results: Patients with PD showed significantly reduced DTI-ALPS in the bilateral (meanHC=1.72±0.18, meanPD=1.55±0.17, t=4.612, p=<0.001, d=0.997), left (meanHC=1.76±0.20, meanPD=1.58±0.19, t=4.285, p=<0.001, d=0.927) and right hemisphere (meanHC=1.68±0.21, meanPD=1.52±0.19, t=3.784, p=<0.001, d=0.818) [Figure1]. Patients with PD showed higher non-motor symptoms, more neuropsychiatric and REM sleep comorbidities, apathy, olfaction dysfunction [Table1] and worse performance in the Stroop (color), semantic fluency, and Benton facial recognition tests [Table2] than HC. In patients with PD, the bilateral DTI-ALPS index correlated negatively with age, age at PD onset, non-motor symptoms and apathy; and positively with the Stroop (color) and semantic fluency tests [Figure2]. The DTI-ALPS index in the right hemisphere positively correlated with the University of Pennsylvania Smell Identification Test [Figure3]. No correlations were seen in HC.
Conclusion: These results suggest dysfunctional perivascular glymphatic activity in patients with PD, associated with higher age, age at PD onset, and presence of non-motor symptoms. Considering all results, DTI-ALPS may serve as valuable measures for monitoring PD.
Figure 1
Table 1
Table 2
Figure 2
Figure 3
References: [1] Zarkali A, Thomas GEC, Zetterberg H, Weil RS. Neuroimaging and fluid biomarkers in Parkinson’s disease in an era of targeted interventions. Nat Commun. 2024 Dec 1;15(1).
[2] Iliff JJ, Wang M, Liao Y, Plogg BA, Peng W, Gundersen GA, et al. A paravascular pathway facilitates CSF flow through the brain parenchyma and the clearance of interstitial solutes, including amyloid β. Sci Transl Med. 2012 Aug 15;4(147).
[3] Taoka T, Masutani Y, Kawai H, Nakane T, Matsuoka K, Yasuno F, et al. Evaluation of glymphatic system activity with the diffusion MR technique: diffusion tensor image analysis along the perivascular space (DTI-ALPS) in Alzheimer’s disease cases. Jpn J Radiol. 2017 Apr 1;35(4):172–8.
To cite this abstract in AMA style:
J. Pardo, I. Roura, C. Martín-Barceló, C. Falcon, R. Sala-Llonch, J. Oltra, A. Campabadal, N. Bargalló, MA. Jurado, M. Garolera, MJ. Martí, Y. Compta, C. Junqué, B. Segura. Decreased DTI-ALPS Indices and their Association with Clinical Features in Parkinson’s Disease [abstract]. Mov Disord. 2025; 40 (suppl 1). https://www.mdsabstracts.org/abstract/decreased-dti-alps-indices-and-their-association-with-clinical-features-in-parkinsons-disease/. Accessed November 16, 2025.« Back to 2025 International Congress
MDS Abstracts - https://www.mdsabstracts.org/abstract/decreased-dti-alps-indices-and-their-association-with-clinical-features-in-parkinsons-disease/





