Category: Parkinson's disease: Neuroimaging
Objective: This systematic review evaluates performance of machine learning (ML) and artificial intelligence (AI) techniques applied to neuroimaging modalities in differentiating Parkinson’s disease (PD) patients from healthy controls (HC). We hope that these results provide guidance for future neuroimaging research in PD diagnostics.
Background: PD diagnosis can be challenging especially in the early stage of the disease. Neuroimaging combined with ML/AI methods has emerged as a powerful tool to improve diagnostic accuracy. However, variability in performance across modalities, datasets, and algorithms requires systematic assessment.
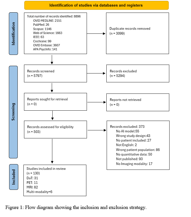
Method: Following PRISMA guidelines, we systematically searched 8896 articles among 7 biomedical databases, identifying studies utilizing ML/AI in neuroimaging modalities (i.e., DaT SPECT, dopamine PET, [18F]FDG PET, structural MRI, functional MRI, and diffusion MRI) to classify PD versus HC (Fig 1). Data extraction focused on sensitivity, specificity, accuracy, dataset sources (Parkinson’s Progression Markers Initiative (PPMI) vs. non-PPMI), and algorithm types.
Results: We included 130 studies (DaT: 31, PET: 11, MRI: 82, multimodal: 6) (Figure 1). Highest performance (~95% accuracy, sensitivity, specificity) was observed with convolutional neural networks (CNNs) on dopaminergic imaging (DaT and dopamine PET). Structural MRI, despite widespread use, showed moderate but variable accuracy (~85%). Functional MRI and [18F]FDG PET showed promising results but fewer studies and methodological diversity limit conclusions. Diffusion MRI had the lowest performance (~80%), suggesting limited robustness.
Conclusion: CNN-based approaches in dopamine imaging demonstrate strong potential for accurate PD classification, reflecting the neuropathological hallmark of dopaminergic neuron loss. However, variability across studies suggests that future research should prioritize external validation, address dataset biases (especially overuse of PPMI data), and incorporate multimodal neuroimaging. Such steps will advance clinical applicability and diagnostic reliability in neurology.
figure 1
To cite this abstract in AMA style:
F. Ebrahimian Sadabad, P. Honhar, S. Houshi, F. Nejati, S. Bagherieh, A. Brackett, F. Yazdanpanah, S. Cayir, M. Hosseini, H. Tagare, D. Matuskey. Detection and classification of Parkinson’s disease from neuroimaging modalities using machine learning and artificial intelligence: a systematic review [abstract]. Mov Disord. 2025; 40 (suppl 1). https://www.mdsabstracts.org/abstract/detection-and-classification-of-parkinsons-disease-from-neuroimaging-modalities-using-machine-learning-and-artificial-intelligence-a-systematic-review/. Accessed November 7, 2025.« Back to 2025 International Congress
MDS Abstracts - https://www.mdsabstracts.org/abstract/detection-and-classification-of-parkinsons-disease-from-neuroimaging-modalities-using-machine-learning-and-artificial-intelligence-a-systematic-review/

