Objective: To evaluate the efficacy of opicapone 50 mg in reducing OFF time and improving motor function in Parkinson’s disease (PD) patients with motor fluctuations.
Background: Opicapone, a once-daily catechol-O-methyltransferase (COMT) inhibitor, is used as an adjunct to levodopa in PD patients experiencing motor fluctuations. While previous trials have demonstrated its ability to prolong levodopa efficacy, its impact on motor function and OFF time reduction needs further clarification.
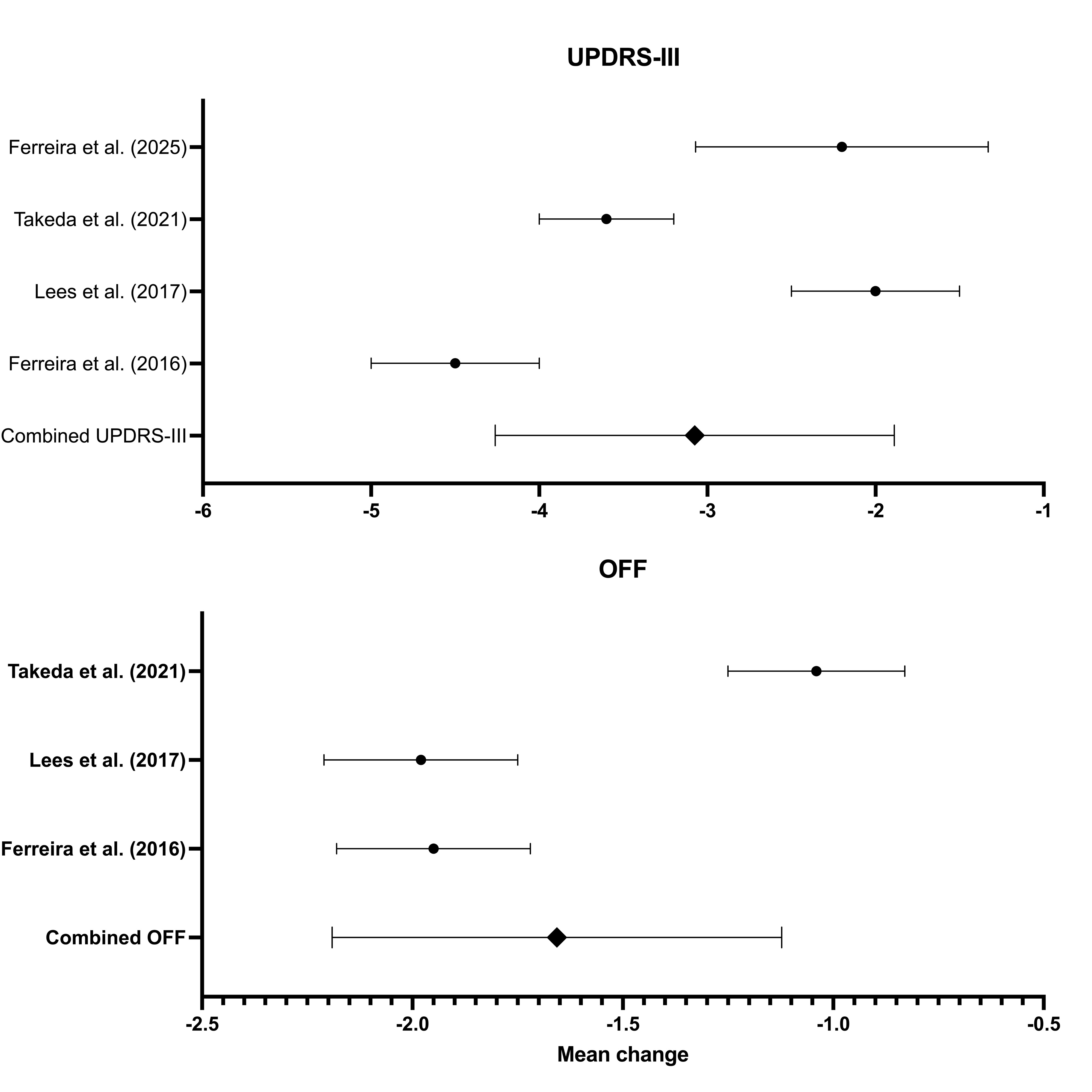
Method: A systematic review and meta-analysis were conducted following PRISMA guidelines. A literature search was performed using PubMed to identify randomized, double-blind, placebo-controlled trials evaluating opicapone 50 mg in PD patients with motor fluctuations. Studies were included if they reported changes in Movement Disorder Society–Unified Parkinson’s Disease Rating Scale Part III (MDS-UPDRS-III) scores and OFF time reduction. Data were pooled using a random-effects model, with heterogeneity assessed using the I² statistic.
Results: Four randomized, double-blind, placebo-controlled trials (PMID: 26725544, 28027332, 33073879, and 39790009) comprising 584 patients receiving opicapone 50 mg and 580 patients receiving placebo were included [Figure 1]. Opicapone significantly improved motor function, with a pooled mean difference in UPDRS-III scores of -3.08 ± 0.64 compared to placebo (p < 0.05). Additionally, opicapone led to a 1.66 ± 0.22-hour reduction in OFF time compared to placebo (p < 0.01), demonstrating its effectiveness in prolonging the therapeutic effects of levodopa. Heterogeneity was low to moderate across outcomes (I² = 34.2% for UPDRS-III and 28.7% for OFF time). These findings indicate that opicapone provides a modest but clinically meaningful benefit in PD patients with motor fluctuations.
Conclusion: Opicapone 50 mg demonstrated a modest but significant improvement in motor function and a clinically meaningful reduction in OFF time in PD patients with motor fluctuations. These findings support its use as an effective adjunct therapy in PD. Further studies are warranted to explore long-term efficacy and real-world effectiveness.
Figure 1
To cite this abstract in AMA style:
A. Fornari Caprara, J. Pitton Rissardo. Opicapone for OFF Motor Fluctuations in Parkinson’s Disease: A Systematic Review and Meta-Analysis of Randomized Trials [abstract]. Mov Disord. 2025; 40 (suppl 1). https://www.mdsabstracts.org/abstract/opicapone-for-off-motor-fluctuations-in-parkinsons-disease-a-systematic-review-and-meta-analysis-of-randomized-trials/. Accessed November 16, 2025.« Back to 2025 International Congress
MDS Abstracts - https://www.mdsabstracts.org/abstract/opicapone-for-off-motor-fluctuations-in-parkinsons-disease-a-systematic-review-and-meta-analysis-of-randomized-trials/

