Objective: This study aimed to apply spatial ICA to 18F-fluorodeoxyglucose (FDG) positron emission tomography (PET) data from PSP patients and healthy controls (HCs) to identify PSP-related independent metabolic covariate networks.
Background: Progressive Supranuclear Palsy (PSP) is a neurodegenerative disorder marked by significant clinical and pathological heterogeneity. Despite its impact, the underlying pathophysiological mechanisms remain poorly understood. Spatial independent component analysis (ICA), a multivariate and unsupervised data-driven approach, offers a promising method to explore independent metabolic covariate networks associated with PSP, potentially providing new insights into the disease’s pathophysiology.
Method: FDG and dopaminergic transporter (DAT) PET scan data from 85 PSP patients and 70 HCs were analyzed. All PSP patients underwent a series of neuropsychiatric assessments. Using spatial ICA, the study identified independent metabolic covariate networks associated with PSP and examined their correlations with overall disease severity and four key symptom domains: cognitive function, oculomotor impairment, gait and midline disturbances, and parkinsonism severity. Furthermore, the study explored the relationship between these metabolic networks and striatal dopaminergic binding.
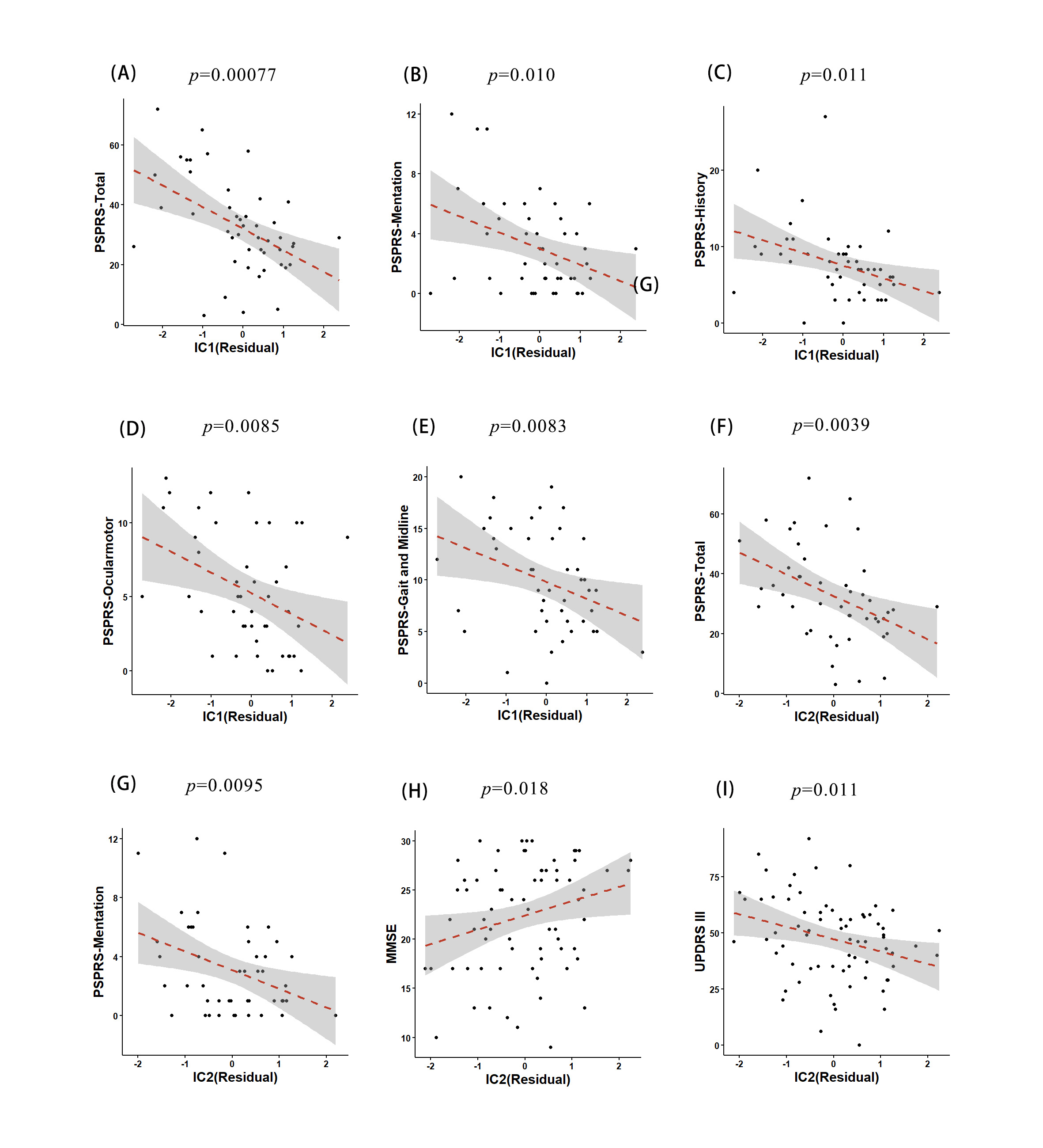
Results: Three PSP-related metabolic networks were identified: the dorsomedial thalamus-medial prefrontal cortex (dmT-mPFC) network, the posterior cingulate cortex-lateral prefrontal cortex (PCC-LPFC) network, and the putaminal network. Both the dmT-mPFC and PCC-LPFC networks showed negative correlations with overall disease severity, while the dmT-mPFC and putaminal networks were inversely associated with disease duration. The PCC-LPFC network primarily reflected cognitive impairment and parkinsonism, whereas the dmT-mPFC network was linked to gait and midline disturbances, as well as ocular motor dysfunction. Both networks demonstrated a strong association with striatal DAT binding.
Conclusion: The aberrant PCC-LPFC and dmT-mPFC networks reflect disease severity and distinct clinical symptoms in PSP. These altered metabolic covariance networks, along with the modulatory role of dopaminergic pathways, enhance our understanding of PSP’s pathophysiological mechanisms.
PSP-related networks
Correlation between ICs and clinical variables.
To cite this abstract in AMA style:
B. Wang, W. Luo. Spatial Metabolic Covariance Networks in PSP: Implications for Symptomatology and their Neural Basis [abstract]. Mov Disord. 2025; 40 (suppl 1). https://www.mdsabstracts.org/abstract/spatial-metabolic-covariance-networks-in-psp-implications-for-symptomatology-and-their-neural-basis/. Accessed November 7, 2025.« Back to 2025 International Congress
MDS Abstracts - https://www.mdsabstracts.org/abstract/spatial-metabolic-covariance-networks-in-psp-implications-for-symptomatology-and-their-neural-basis/


