Objective: To evaluate the long-term effect on motor symptoms of advanced Parkinson’s disease (PD) following up to two years of treatment with LECIG by analysis of interim data from the ELEGANCE study (NCT05043103) for a total of 167 patients.
Background: The LECIG formulation incorporates entacapone within the infusion which has the advantage of allowing a lower levodopa dose to be given while still maintaining therapeutically effective plasma levels.1 This also allows a smaller infusion volume which can be delivered via a small, lightweight pump. ELEGANCE is a large, ongoing non-interventional study (NCT05043103) established to collect ‘real-world’ safety, efficacy and patient-reported outcomes data from advanced PD patients treated with LECIG in routine clinical practice in 13 European countries over two years.
Method: Study participants are advanced PD patients with severe motor fluctuations and hyperkinesia or dyskinesia despite optimised PD therapy who have been prescribed LECIG as part of routine clinical care. For this analysis, a range of motor PD symptoms were recorded at baseline (initial assessment visit prior to LECIG treatment [V1]) and subsequent clinic visits using Movement Disorder Society Unified Parkinson’s Disease Rating Scale (MDS-UPDRS) item scores. Motor symptoms at night were assessed using the PD Sleep Scale (PDSS-2).
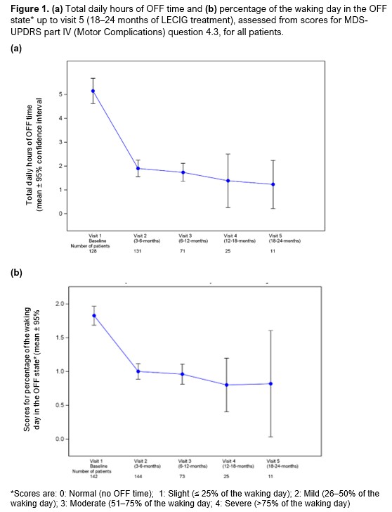
Results: Reduction in the daily hours of OFF time and percentage of the waking day spent in the OFF state (MDS-UPDRS part IV, question 4.3) were both sustained from baseline to V5 (18–24 months of treatment (Figure 1). No difference was observed between patients who switched from oral therapy and those who switched from another infusion therapy. Motor complications total scores (MDS-UPDRS part IV; Figure 2) also showed sustained reductions from baseline to V5, as did motor symptoms at night (Figure 3).
Conclusion: LECIG showed sustained clinical efficacy in reducing PD motor symptoms, both during the day and at night, following treatment for up to two years.
Figure 1
Figure 2
Figure 3
References: 1. Senek M, et al. Mov Disord. 2017;32(2):283-6.
To cite this abstract in AMA style:
B. Amlani, N. Smith. Sustained Motor Symptom Efficacy With Long-Term Levodopa–Entacapone–Carbidopa Intestinal Gel (LECIG) Treatment – Data From The ELEGANCE Interim Analysis [abstract]. Mov Disord. 2025; 40 (suppl 1). https://www.mdsabstracts.org/abstract/sustained-motor-symptom-efficacy-with-long-term-levodopa-entacapone-carbidopa-intestinal-gel-lecig-treatment-data-from-the-elegance-interim-analysis/. Accessed November 7, 2025.« Back to 2025 International Congress
MDS Abstracts - https://www.mdsabstracts.org/abstract/sustained-motor-symptom-efficacy-with-long-term-levodopa-entacapone-carbidopa-intestinal-gel-lecig-treatment-data-from-the-elegance-interim-analysis/



