Objective: To analyze the incidence of Functional Movement Disorders(FMD) consultations before, during and after the COVID-19 pandemic, and the impact of published diagnostic criteria for FMD.
Background: Changes in diagnostic criteria and awareness may have influenced FMD consultation incidence.The pandemic may have also impacted FMD incidence, as observed in functional tics [1]
Method: We conducted a retrospective analysis of FMD patients between 2014-2024 at a tertiary movement disorders clinic. Trends in FMD incidence before and after pandemics were analyzed graphically and with interrupted time series (ITS). Historical milestones in diagnostic criteria for functional and other movement disorders were examined. Patients’ characteristics were compared between pre-pandemic (2018-2019) and post-pandemic (2021-2022) groups.
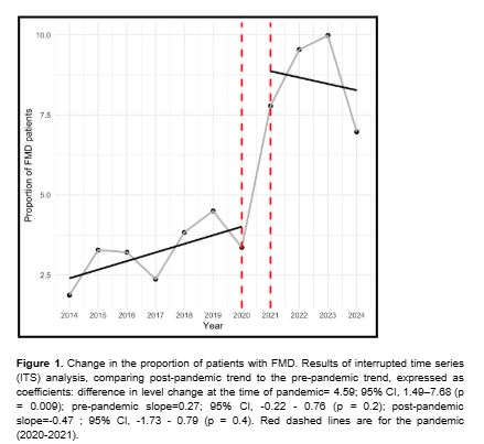
Results: Among 28722 total consultations (2014-2024), 163 were FMD: 22 pre-pandemic, 51 post-pandemic.The proportion of FMD patients is presented in [table 1]. Before the pandemic, yearly FMD slopes increased gradually (1.46 and 0.67) whereas post-pandemic, it abruptly increased to 4.42. ITS analysis revealed a weak pre-pandemic upward trend in FMD cases (p=0.2), a sudden rise immediately afterward (level change: 4.59;p<0.05, 95% CI:1.49–7.68), and an apparent tendency to return to pre-pandemic rates (p=0.4) [figure 1].
Pre and post-pandemic groups had similar clinical characteristics, except for a higher female proportion pre-pandemic (95% vs 73%,p<0.05). Functional myoclonus was more frequent post pandemic (p<0.05). There was a non-significant trend toward a longer median FMD duration (12 vs 24 months).
Historical milestones in FMD diagnosis were analyzed graphically. Most consensus criteria preceded COVID-19, except for MDS MSA, Tics, and IAPRD myoclonus classifications. FMD diagnostic criteria also preceded COVID-19, except for Functional Tic-like Behaviours [figure 2].
Conclusion: FMD diagnosis significantly increased post-pandemic, likely indicating greater awareness. Although changes in diagnostic criteria may have influenced its identification, assessing their impact on incidence is complex. The reasons behind the rise in consultations—whether due to increased recognition of FMD or the direct effects of life events—remain unclear. These findings underscore the importance of external factors in FMD incidence.
Table 1. FMD patients and total of patients
Figure 1.Proportion FMD patients
Figure 2. Historical Milestones
References: 1. Pringsheim T, Ganos C, McGuire JF, et al. Rapid onset functional tic-like behaviors in young females during the COVID-19 pandemic. Mov Disord. 2021;36(12):2707-2713. doi:10.1002/mds.28778
To cite this abstract in AMA style:
G. Lopez, D. Marín Medina, M. Rossi, M. Merello. Trends in the incidence of Functional Movement Disorders (FMD):The impact of the pandemic and other historical events [abstract]. Mov Disord. 2025; 40 (suppl 1). https://www.mdsabstracts.org/abstract/trends-in-the-incidence-of-functional-movement-disorders-fmdthe-impact-of-the-pandemic-and-other-historical-events/. Accessed December 11, 2025.« Back to 2025 International Congress
MDS Abstracts - https://www.mdsabstracts.org/abstract/trends-in-the-incidence-of-functional-movement-disorders-fmdthe-impact-of-the-pandemic-and-other-historical-events/



