Category: Parkinsonism (Other)
Objective: To study the pooled sensitivity and specificity of the CSF tap test and lumbar infusion test.
Background: Idiopathic Normal pressure hydrocephalus is a condition characterized by a specific triad of gait disturbance, cognitive impairment, and urinary incontinence. It affects 0.5 to 2.9 % of elderly patients and is equally common in both sexes. CSF tap test and lumbar infusion test are often done pre-operatively to predict outcomes and used to prognosticate patients regarding the likelihood of improvement following ventriculoperitoneal or lumbo-peritoneal shunt. Guidelines suggest that they have a higher specificity and lower sensitivity in predicting the outcome and there are controversial opinions regarding their predicting power and validity. The optimum cutoffs and timing of assessment following the tap test to predict the improvement after shunting are not known.
Method: We did a systematic review and meta-analysis to study the sensitivity and specificity of the CSF tap test and lumbar infusion test. The protocol for this review was registered in PROSPERO, with the registration number CRD42023454502.
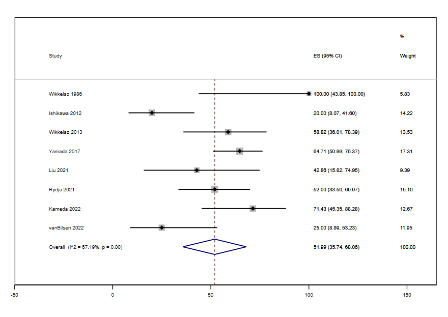
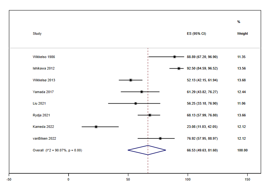
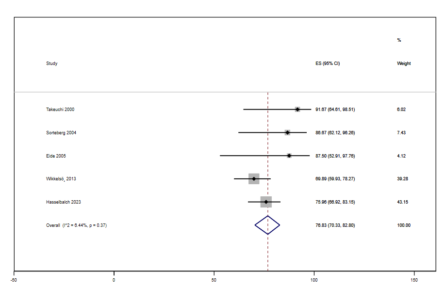
Results: We identified 1446 studies, removed duplicates, and screened 1049 articles for eligibility as per our inclusion and exclusion criteria. We extracted data from 15 studies that reported the results of the index tests and reference standard. We found there was a lot of clinical heterogeneity in the protocols of lumbar tap test and lumbar infusion tests in various institutions, the timing of assessment, and various scales and cutoffs used in assessing outcomes. Some studies were retrospective and had significant biases. We found the pooled sensitivity of the CSF tap test to be 66.5% (95%CI 49.6-81.6) and pooled specificity 52%(95%CI 35.7-68.1). The pooled sensitivity and specificity of the lumbar infusion test were 76.8%(95%CI 70.3-82.8) and 48.9%(95%CI 18.8-79.4) respectively.
Conclusion: The role of the CSF tap test and lumbar infusion test is modest at best in predicting outcomes following shunt surgery. Both the investigations had a poor pooled specificity of 52% and 49% respectively which is similar to a toss of a coin. Using these investigations to prognosticate patients should be done with these findings in light. We need better predictive models to help select patients for surgery and also help shared decision-making.
Specificity of CSF Tap test
Sensitivity of CSF tap test
Sensitivity of Lumbar Infusion test
Specificity of Lumbar infusion test
References: 1. Wikkelso C, Andersson H, Blomstrand C. Normal pressure hydrocephalus. Predictive value of the cerebrospinal fluid tap-test. Acta Neurol Scand. 1986;73(6):566-573.
2. Ishikawa M, Hashimoto M, Mori E, Kuwana N, Kazui H. The value of the cerebrospinal fluid tap test for predicting shunt effectiveness in idiopathic normal pressure hydrocephalus. Fluids Barriers CNS. 2012;9(1). doi:10.1186/2045-8118-9-1
3. Wikkelsø C, Hellström P, Klinge PM, Tans JTJ. The European iNPH Multicentre Study on the predictive values of resistance to CSF outflow and the CSF Tap Test in patients with idiopathic normal pressure hydrocephalus. J Neurol Neurosurg Psychiatry. 2013;84(5):562-568. doi:10.1136/jnnp-2012-303314
4. Yamada S, Ishikawa M, Miyajima M, et al. Disease duration: the key to accurate CSF tap test in iNPH. Acta Neurol Scand. 2017;135(2):189-196. doi:10.1111/ane.12580
5. Panciani PP, Migliorati K, Muratori A, Gelmini M, Padovani A, Fontanella M. Computerized gait analysis with inertial sensor in the management of idiopathic normal pressure hydrocephalus. Eur J Phys Rehabil Med. 2018;54(5):724-729. doi:10.23736/S1973-9087.18.04949-3
6. Junkkari A, Luikku AJ, Danner N, et al. The Kuopio idiopathic normal pressure hydrocephalus protocol: initial outcome of 175 patients. Fluids Barriers CNS. 2019;16(1):21. doi:10.1186/s12987-019-0142-9
7. Liu C, Dong L, Li J, et al. A pilot study of multiple time points and multidomain assessment in cerebrospinal fluid tap test for patients with idiopathic normal pressure hydrocephalus. Clin Neurol Neurosurg. 2021;210((Liu C.; Dong L.; Li J.; Huang X.; Wang J.; Lei D.; Mao C.; Cui L.; Gao J., [email protected]) Department of Neurology, State Key Laboratory of Complex Severe and Rare Disease, Peking Union Medical College Hospital, Chinese Academy of Medical Sciences, Beijin). doi:10.1016/j.clineuro.2021.107012
8. Rydja J, Eleftheriou A, Lundin F. Evaluating the cerebrospinal fluid tap test with the Hellström iNPH scale for patients with idiopathic normal pressure hydrocephalus. Fluids Barriers CNS. 2021;18(1). doi:10.1186/s12987-021-00252-5
9. Kameda M, Kajimoto Y, Kambara A, et al. Evaluation of the Effectiveness of the Tap Test by Combining the Use of Functional Gait Assessment and Global Rating of Change. Front Neurol. 2022;13((Kameda M., [email protected]; Kajimoto Y., [email protected]; Kambara A.; Tsujino K.; Yamada H.; Takagi F.; Fukuo Y.; Kosaka T.; Kanemitsu T.; Katayama Y.; Tsuji Y.; Yagi R.; Hiramatsu R.; Ikeda N.; Nonoguchi N.; Furuse M.; Kawabata S.; Taka). doi:10.3389/fneur.2022.846429
10. van Bilsen MWT, van den Abbeele L, Volovici V, Boogaarts HD, Bartels RHMA, van Lindert EJ. The diagnostic value of the pulsatility curve to predict shunt responsiveness in patients with idiopathic normal pressure hydrocephalus. Acta Neurochir (Wien). 2022;164(7):1747-1754. doi:10.1007/s00701-022-05233-7
11. Takeuchi T, Kasahara E, Iwasaki M, Mima T, Mori K. Indications for Shunting in Patients with Idiopathic Normal Pressure Hydrocephalus Presenting with Dementia and Brain Atrophy (Atypical Idiopathic Normal Pressure Hydrocephalus). Neurol Med Chir (Tokyo). 2000;40(1):38-47. doi:10.2176/nmc.40.38
12. Malm J, Kristensen B, Karlsson T, Fagerlund M, Elfverson J, Ekstedt J. The predictive value of cerebrospinal fluid dynamic tests in patients with the idiopathic adult hydrocephalus syndrome. Arch Neurol. 1995;52(8):783-789.
13. Sorteberg A, Eide PK, Fremming AD. A prospective study on the clinical effect of surgical treatment of normal pressure hydrocephalus: The value of hydrodynamic evaluation. Br J Neurosurg. 2004;18(2):149-157. doi:10.1080/02688690410001681000
14. Eide PK, Sorteberg W. Preoperative spinal hydrodynamics versus clinical change 1 year after shunt treatment in idiopathic normal pressure hydrocephalus patients. Br J Neurosurg. 2005;19(6):475-483. doi:10.1080/02688690500495125
15. Hasselbalch SG, Carlsen JF, Alaouie MM, et al. Prediction of shunt response in idiopathic normal pressure hydrocephalus by combined lumbar infusion test and preoperative imaging scoring. Eur J Neurol. 2023; doi:10.1111/ene.15981
To cite this abstract in AMA style:
A. Elavarasi, A. Aliyar, S. Desai, D. Dash. Accuracy of diagnostic tests in determining clinical improvement following shunt in normal pressure hydrocephalus (NPH) – a systematic review and meta-analysis [abstract]. Mov Disord. 2025; 40 (suppl 1). https://www.mdsabstracts.org/abstract/accuracy-of-diagnostic-tests-in-determining-clinical-improvement-following-shunt-in-normal-pressure-hydrocephalus-nph-a-systematic-review-and-meta-analysis/. Accessed December 12, 2025.« Back to 2025 International Congress
MDS Abstracts - https://www.mdsabstracts.org/abstract/accuracy-of-diagnostic-tests-in-determining-clinical-improvement-following-shunt-in-normal-pressure-hydrocephalus-nph-a-systematic-review-and-meta-analysis/




