Objective: To compare lower limb muscle coactivation (MC) during gait between Parkinson’s disease (PD) and healthy controls (HC).
Background: MC increases with aging as a response to postural control deterioration [1]. While MC enhances static stability, it may reduce dynamic postural stability and movement efficiency [2,3]. negatively affecting gait and increasing fall risk [4]. Individuals with PD exhibits rigidity, bradikinesia and poor postural control [5] and these symptoms may be further exacerbated by MC. However, alterations of MC in PD are still unclear with conflicting findings [6-8].
Method: Subjects walked at self-selected speed on a 10m linear path. Muscle activity (5 muscles for lower limb) were recorded with surface EMG (Cometa ZeroWire). EMG data were normalized to peak activation, and integral was estimated to obtain the ‘area under the curve’ (AUC). Coactivation Index (CI) was then computed as: as 2*[(overlapping AUC of M1 and M2)/(AUC of M1 + M2)] for each couple of muscles [9]: Tibialis anterior (TA) vs Gastrocnemius medialis (GM), TA vs Soleus (SOL), Vastus Medialis (VM) vs Biceps Femoris (BF). Data between groups were compared using unpaired T test (SPSS).
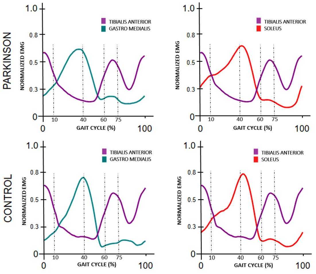
Results: Fifteen individuals with idiopathic PD (age: 63.4 ± 6.1 years; H&Y: 2.3 ± 0.6) and ten matched HC (age: 62.2 ± 7.6 years) were enrolled. Regarding CIs, no statistical differences were found between groups [Figure 1], despite that a qualitative comparison of EMG signals in specific sub-phases of gait cycle (GC) was performed. PD tended to show higher recruitment of both BF and VM during mid stance (MS: 10-40% of GC) with a sustained activation of VM during push-off (PO: 40-60% of GC) and an earlier and higher recruitment of BF [Figure 2]. During the first part of PO (40-50% of GC), PD appeared to have a higher recruitment of TA associated to lower activation of plantarflexors (GM and SOL). However, PD showed a higher and persistent recruitment of GM in early swing (ES:60-75% of GC) [Figure 3].
Conclusion: MC’s role in PD remains unclear, requiring further research. Our preliminary analysis highlights the importance of investigating muscle recruitment patterns and their interdependencies across specific gait cycle sub-phases as each requires distinct adaptations that may influence MC differently. A sub-phase-specific approach could provide a clearer understanding of MC compared to an overall gait cycle analysis.
Coactivation Index: comparison between groups
Vastus Medialis VS Biceps Femoris
Soleus or Gastro Medialis VS Tibialis Anterior
References: 1) Nagai K, Yamada M, Mori S, et al. Effect of the muscle coactivation during quiet standing on dynamic postural control in older adults. Arch Gerontol Geriatr. 2013;56(1):129-133. doi:10.1016/j.archger.2012.08.009
2) Tucker MG, Kavanagh JJ, Barrett RS, Morrison S. Age-related differences in postural reaction time and coordination during voluntary sway movements. Hum Mov Sci. 2008;27(5):728-737. doi:10.1016/j.humov.2008.03.002
3) Allum JH, Carpenter MG, Honegger F, Adkin AL, Bloem BR. Age-dependent variations in the directional sensitivity of balance corrections and compensatory arm movements in man. J Physiol. 2002;542(Pt 2):643-663. doi:10.1113/jphysiol.2001.015644
4) Hortobágyi T, Solnik S, Gruber A, et al. Interaction between age and gait velocity in the amplitude and timing of antagonist muscle coactivation. Gait Posture. 2009;29(4):558-564. doi:10.1016/j.gaitpost.2008.12.007
5) Moustafa AA, Chakravarthy S, Phillips JR, et al. Motor symptoms in Parkinson’s disease: A unified framework. Neurosci Biobehav Rev. 2016;68:727-740. doi:10.1016/j.neubiorev.2016.07.010
6) Dietz V, Zijlstra W, Prokop T, Berger W. Leg muscle activation during gait in Parkinson’s disease: adaptation and interlimb coordination. Electroencephalogr Clin Neurophysiol. 1995;97(6):408-415. doi:10.1016/0924-980x(95)00109-x
7) Arias P, Espinosa N, Robles-García V, Cao R, Cudeiro J. Antagonist muscle co-activation during straight walking and its relation to kinematics: insight from young, elderly and Parkinson’s disease. Brain Res. 2012;1455:124-131. doi:10.1016/j.brainres.2012.03.033
8) Lang KC, Hackney ME, Ting LH, McKay JL. Antagonist muscle activity during reactive balance responses is elevated in Parkinson’s disease and in balance impairment. PLoS One. 2019;14(1):e0211137. Published 2019 Jan 25. doi:10.1371/journal.pone.0211137
9) Keloth SM, Arjunan SP, Raghav S, Kumar DK. Muscle activation strategies of people with early-stage Parkinson’s during walking. J Neuroeng Rehabil. 2021;18(1):133. Published 2021 Sep 8. doi:10.1186/s12984-021-00932-1
To cite this abstract in AMA style:
D. Bonacina, D. Tosatto, M. Leonardi, C. Perin, C. Alessandro, D. Piscitelli. Muscle Coactivation in subjects with Parkinson’s Disease: a Healthy-matched analysis of the Sub-Phases of Gait Cycle [abstract]. Mov Disord. 2025; 40 (suppl 1). https://www.mdsabstracts.org/abstract/muscle-coactivation-in-subjects-with-parkinsons-disease-a-healthy-matched-analysis-of-the-sub-phases-of-gait-cycle/. Accessed December 6, 2025.« Back to 2025 International Congress
MDS Abstracts - https://www.mdsabstracts.org/abstract/muscle-coactivation-in-subjects-with-parkinsons-disease-a-healthy-matched-analysis-of-the-sub-phases-of-gait-cycle/



