Objective: To assess the effect of deep brain stimulation(DBS) on speech and swallowing in patients with dystonia using objective pre- and post-operative assessments.There is a paucity of information on changes in motor speech,intelligibility,corticospinal or cerebellar effects, as well as the occurrence or improvement of dysphagia post-DBS.
Background: Pallidal and subthalamic DBS is an established dystonia therapy,but its effects on speech and swallowing are complex and variable.Most data come from retrospective questionnaires. This study examined pre and post-DBS speech and swallowing outcomes.
Method: We retrospectively analyzed patients with dystonia undergoing DBS(January 2003–October 2024).Speech and swallowing were assessed using validated instruments.Dysarthria was categorized by intelligibility,voice stability,subtype,and transitions.Swallowing was evaluated via the Penetration-Aspiration Scale(PAS) and Dynamic Imaging Grade of Swallowing Toxicity(DIGEST).Regression analysis explored factors influencing the outcomes,including phenotype,etiology,age,DBS target and programming.
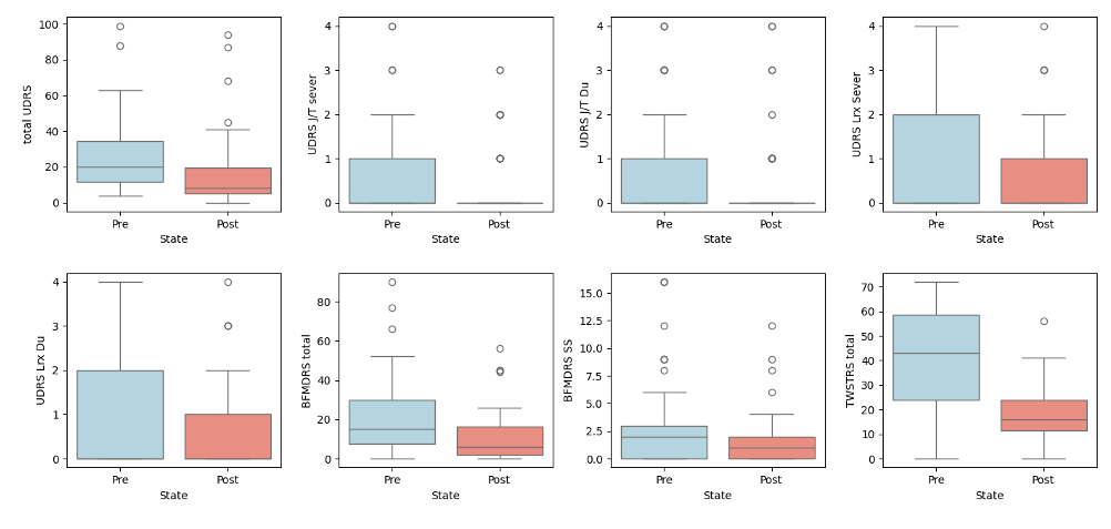
Results: Eighty-two patients were included:40 had generalized dystonia,1 hemi-dystonia,6 Meige syndrome,and 35 cervical dystonia.DBS targets included the globus pallidus internus(69), subthalamic nucleus(3),ventral intermediate nucleus(7),and multiple(3).Unified Dystonia Rating Scale (UDRS) scores improved in 54%, from 26.7 pre-DBS to 16.6 post-DBS (p=2.30 × 10⁻⁹).Speech outcomes varied.Dysarthria remained stable in 44 subjects,while 27 changed:Normal to Ataxic(3),Normal to Hyperkinetic(2),Hyperkinetic to Hypokinetic(2),and Hypokinetic to Hyperkinetic(2).Other transitions included Hyperkinetic to Spastic-Hyperkinetic(1),Hypokinetic to Hypokinetic-Ataxic(1),and Flaccid-Ataxic to Hyperkinetic(1).Swallowing outcomes worsened. PAS scores increased from 0.77 pre-DBS to 2.33 post-DBS(p<0.01).DIGEST safety and efficacy scores changed from 0.17to 0.11(p=0.51).Regression analyses failed to identify predictors,highlighting the need for controlled studies.
Conclusion: DBS affects speech and swallowing variably.Speech intelligibility remains stable,but dysarthria evolve unpredictably.Hyperkinetic and hypokinetic dysarthria persist,while ataxic features emerged in six patients(four with ventral intermediate nucleus DBS,two with globus pallidus internus DBS).Future research should focus on modulatory factors,DBS optimization,and patient-specific speech therapy.
Dystonia scales
Swallowing changes
Motor speech function
PAS
DIGEST
References: 1. Rodrigues FB, Duarte GS, Prescott D, Ferreira J, Costa J. Deep brain stimulation for dystonia. Cochrane Database of Systematic Reviews. 2019 Jan 10;2020(10).
2. Baudouin R, Lechien JR, Carpentier L, Gurruchaga J, Lisan Q, Hans S. Deep Brain Stimulation Impact on Voice and Speech Quality in Parkinson’s Disease: A Systematic Review. Otolaryngology–Head and Neck Surgery. 2023 Mar 30;168(3):307–18.
3. Tabari F, Berger JI, Flouty O, Copeland B, Greenlee JD, Johari K. Speech, voice, and language outcomes following deep brain stimulation: A systematic review. PLoS One. 2024 May 10;19(5):e0302739.
4. Yu H, Takahashi K, Bloom L, Quaynor SD, Xie T. Effect of Deep Brain Stimulation on Swallowing Function: A Systematic Review. Front Neurol. 2020 Jul 17;11.
5. Lapa S, Claus I, Reitz SC, Quick‐Weller J, Sauer S, Colbow S, et al. Effect of thalamic deep brain stimulation on swallowing in patients with essential tremor. Ann Clin Transl Neurol. 2020 Jul 16;7(7):1174–80.
To cite this abstract in AMA style:
N. Walker-Pizarro, H. Kamu, J. Hilliard, K. Hegland, N. Herndon, S. Gaber, M. Okun, A. Ramirez-Zamora. Speech and Swallowing Function Following Deep Brain Stimulation for Dystonia? [abstract]. Mov Disord. 2025; 40 (suppl 1). https://www.mdsabstracts.org/abstract/speech-and-swallowing-function-following-deep-brain-stimulation-for-dystonia/. Accessed January 19, 2026.« Back to 2025 International Congress
MDS Abstracts - https://www.mdsabstracts.org/abstract/speech-and-swallowing-function-following-deep-brain-stimulation-for-dystonia/





